This Catalogue is dedicated to the memory of Professor Grzegorz Sitarski (1932–2015), without whom, it would never have existed

General description

The CODE Catalogue currently provides information on the orbits of almost 370 near-parabolic comets, mostly with original gravitational semimajor axes greater than 5,000 au, discovered between 1885 and 2022. It includes the complete sample of Oort spike comets from 1900–2021, defined by original semimajor axes greater than 10,000 au for a purely gravitational model of motion. The catalogue also contains several long-period comets with original semimajor axes between 1,300 au and 5,000 au.

This is the first catalogue to show the orbital evolution of long-period comets over three consecutive perihelion passages: previous — observed — next,
covering their dynamical evolution over periods typically ranging from 1 to 10 million years. This is implemented in the form of five snapshots:

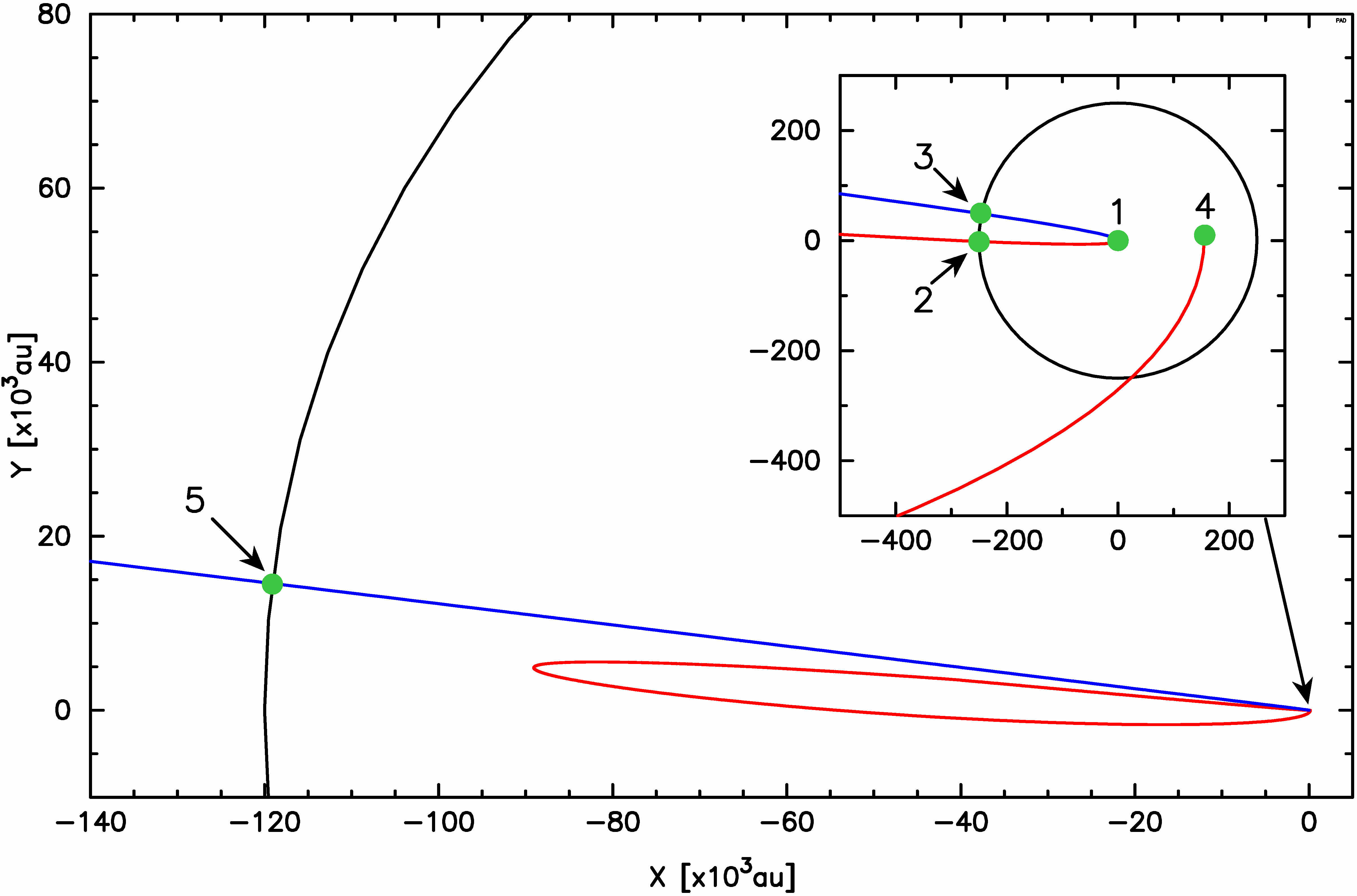
The positions of these snapshots along a cometary trajectory are illustrated using the orbit of C/2012 T7 (LINEAR) in the figure below.


snapshots of C/2002 T7 LINEAR
An example of a comet dynamical evolution described in CODE. This particular plot describes orbital changes of C/2002 T7 projected on its original orbit plane. Red line depicts the past motion of this comet while the blue one depicts its future evolution. Marked are five epochs (snapshots) when orbital elements are recorded: 1 — osculating heliocentric orbit near the center of the observational interval (typically near the perihelion), 2 — original barycentric orbit recorded in past at 250 au from the Sun, 3 — future barycentric orbit recorded in future at 250 au from the Sun, 4 — previous orbit, recorded at the previous perihelion, 5 — next orbit, in this case recorded at the escape border taken at 120,000 au from the Sun, but for many other comets recorded in the next perihelion.

The second novelty is that, for many of the comets presented, the CODE Catalogue includes multiple orbital solutions, based on alternative force models or different subsets of positional data. The preferred orbit is always clearly indicated. Some solutions are also marked as dedicated orbital solutions for backward dynamical evolution studies if they differ from the preferred one. Moreover, for approximately 150 of these long-period comets, non-gravitational solutions are provided alongside purely gravitational ones (obtained by neglecting non-gravitational accelerations) for comparison.

Therefore, at present, the CODE Catalogue provides gravitational orbital solutions — and, when available, non-gravitational ones — for the complete sample of comets discovered between 1900 and 2021, with original semimajor axes greater than 10,000 au in the case of purely gravitational orbits. These objects are referred to as Oort spike comets in the CODE Catalogue. We found that non-gravitational orbits could be obtained for over 60% of the small-perihelion Oort spike comets (q less than 3.35 au), but only about three times less frequently for the large-perihelion Oort spike comets (q greater than 3.35 au).

Osculating orbit determination; snapshot 1

All osculating orbits of comets in CODE catalogue were determined from the positional data using the same method of orbit determination and a model of the solar system as in our previous papers; see Królikowska & Dybczyński (2010), Królikowska (2014), Królikowska (2020) , including the procedure of data selection and weighting, and details about the methodology used for the determination of non-gravitational orbits.

Many of comets presented in the CODE catalogue exhibit detectable non-gravitational acceleration in their orbital motion. For all these comets, we present a non-gravitational orbit as well as their purely gravitational orbit for comparison.

The homogeneity of methods and models used for CODE catalogue is essential for statistical considerations of comet orbits, particularly in the investigations of the shape of the Oort spike maximum (i.e. the original 1/a-distribution).

Original and future cometary orbits; snapshots 2 & 3

For the past and future dynamical evolution of a given comet a swarm of 5001 virtual comets (hereafter VCs), including the nominal orbit were constructed according to the Monte Carlo method proposed by Sitarski (1998) . This approach allowed us to determine the uncertainties of all orbital elements at any epoch covered by a numerical integration to the previous perihelion passage as well as to the subsequent perihelion passage.

Starting from an osculating epoch, the dynamical calculations of each swarm of VCs were performed backwards and forwards in time until each VC reached 250 au from the Sun, that is, a distance where planetary perturbations are already negligible. At this stage we switch from a heliocentric to a barycentric reference frame. These swarms of orbits are called original (snapshot 2) and future (snapshot 3) and are available for download as described below.

Previous and next cometary orbits; snapshots 4 & 5

Original and future swarms of LPCs' orbits were followed numerically taking into account Galactic and stellar perturbations. In this version we used methods and models described in detail in Dybczyński and Breiter (2022) . As a source of the stellar perturbers data we used the latest release of the StePPeD database , see also Dybczyński et al. (2022) .

Generally, we stop our calculation at the previous or next perihelion. However, for hyperbolic or very elongated elliptic orbits in a swarm of VCs, we apply the so-called escape limit of 120,000 au. The final orbits obtained from these calculations, we call previous (snapshot 4) and next (snapshot 5).

Due to the still uncertain data on some important stellar perturbers we decided to perform all calculations twice, with and without stellar perturbations taken into account. In the later version only the Galactic tide has been included.

As a result we present two different sets of parameters both for previous and next orbits.

The Search functionality is possible for both sets of orbits, the results of the full model are called here 'prev' and 'next' while the results of calculations with stellar perturbations omitted are named 'prev_g' and 'next_g'.

CODE database usage

There are two main views of the CODE database interface, called  Browse  and  Search.

The first one allows the user to browse across all orbital solutions included in the database, including osculating, original, future, previous and next orbits described as five snapshots above.

The  Search  screen allows for searching among all the data narrowing almost all parameter intervals. Below, we describe in short both these functionalities.

An anonymous user have an access to a slightly narrowed subset of data, for example objects currently under additional study might be partially embargoed. Logged users can access some additional objects/orbits. Logging credentials can be obtained by e-mail from the authors on the circumstantiated request, for example in case of a research cooperation on particular objects.

Browsing the CODE database

Fragment of the 'Browse' tab showing a portion of the comet list, ordered by discovery date (from the most recent to the earliest). Column sorting is available, and comet names in the first column link to detailed descriptions of an individual comet in the CODE Catalogue (screenshot is given below for C/2010 U3 (Boattini)).

 

Browse  is the default view of the CODE database (see the upper picture above), available immediately after opening main page in a web browser. It shows all comets with their designations, names, observational material characteristics, and osculating orbit elements (presented with reduced precision). In this view, each comet is shown with only one orbit — the preferred one, either the only available or selected from several. The user can narrow the visible list of comets by using a filter box (located above the table on the left). Any string entered in this box will be automatically matched against a comet's designation and/or name. Moreover, clicking on any column headings will sort the entire table according to the selected parameter.

Clicking on the comet designation in the leftmost column opens the  'comet presentation screen' (see the lower of the two pictures above). In its upper part, a comet description is available together with a clickable list of orbital solutions. For each comet, one orbital solution is designated as 'preferred' and this solution is presented by default and highlighted in green. For some comets, additional orbital solutions are also selected as suitable for past or future motion studies. These special-purpose solutions are marked in orange and gray, respectively, as shown in the lower picture above for comet C/2010 U3 (Boattini).

For each orbital solution, five cards are available, providing full detail and precision for five orbital snapshots: osculating, original, future, previous, and next. In most cases, additional graphics are also presented.

As mentioned, we have constructed a swarm of 5001 virtual comets, including the nominal osculating orbit for each orbital solution in the database. By propagating these swarms forward or backward in time to the previous or next perihelion, we can estimate the uncertainties for all presented orbital parameters. For users who wish to perform similar studies, for example over much longer timescales, we provide the option to download a text file containing all 5001 VCs at the stage of the  original  or  future  orbit (see the corresponding screens for  original  or  future  orbits).

Searching the CODE database

After entering the  Search  view, the user is offered the possibility to select a subset of orbital solutions available in CODE by narrowing the intervals of almost all parameters. By default, the  Search  screen performs searches among osculating orbits, but it can be switched to any of the other six types (see the upper of three picture above). By checking the appropriate box, one can limit the search to preferred orbits only. For osculating, original, and future orbits, this generally selects the preferred solution, while for previous or next orbits it selects the special-purpose orbital solution dedicated to past or future dynamical studies (if such a solution is available for a particular comet).

Orbital elements are selected by defining an interval of interest, and a simple dynamic check ensures the correctness of the entered data. Special treatment is applied to four orbital elements: perihelion distance, aphelion distance, eccentricity, and semimajor axis. Since these elements are not independent, the user may enter the preferred interval for any two of them, and the others are automatically blocked. In the lower part of the screen, selection based on observational characteristics or the type of orbital solution can also be performed.

Searching among  'previous'  and  'next'  orbits is performed using a slightly different form, closely adapted to the information presented for these types of orbits (see the right picture of the two just above, showing the result of a search for the 'previous_g' type of orbit, limited to q not greater than 10 au).

After clicking the  Submit  button, the user obtains a list of matching orbital solutions in a format identical to the  Browse  screen (which can also be filtered by comet designation or name). There is only one important difference: the search results can be downloaded as a simple text file, containing all data in full precision, including their uncertainties. Two examples of such search results are presented above: one for previous orbits calculated without stellar perturbations (orbit: 'previous_g'), and one for the results of a full model (Galactic and star perturbations included, orbit: 'previous' ).

Bibliography

Authors and credits

Małgorzata Królikowska-Sołtan (Space Research Centre of Polish Academy of Sciences (CBK PAN), Bartycka 18A, Warszawa, Poland), and
Piotr A. Dybczyński (Astronomical Observatory Institute, Faculty of Physics and Astronomy, A.Mickiewicz University, Słoneczna 36, Poznań, Poland).

The CODE public Internet interface is available

at the Astronomical Observatory Institute, Faculty of Physics and Astronomy, A.Mickiewicz University: https://pad2.astro.amu.edu.pl/CODE/, and

at the Space Research Centre of Polish Academy of Sciences (CBK PAN): https://code.cbk.waw.pl/

Acknowledgements

This research was partially supported by the project 2015/17/B/ST9/01790 founded by the National Science Centre in Poland. This research has made use of cometary positional data provided by the International Astronomical Union's Minor Planet Center.